Weekend Mathematicsコロキウム室/NO.173

コロキウム室



NO.1416 2003.11.1.yokodonゼータ関数の値ζ(2)

偶然、こんなのを見つけました。
若干、オリジナルと違う部分もありますが、 本質的なところを損なわない範囲で御紹介したいと思います。

[問題]

(1)n を非負整数とする。以下を示せ。

  



(2)

    とおく。次式を示せ。

  



(3)In を n の式で表せ。


(4)

    とおく。次式を示せ。

  



(5)N を自然数とする。次式を示せ。

  



(6)次式を示せ。

  


但し、必要なら 0 < x < π/2 で、x < π/2 ・sin(x) であることを用いてよい。

(7)以上を用いて、

  

・・・であることを示せ。

これで、高校までの数学を用いて、ζ(2) の値が計算できますね。
類似の工夫で、他の値も計算できるのでしょうか?



NO.1417 2003.11.3.松井 満間接証明(2)

久しぶりに解答を送らせていただきます。 幾何学的なすっきりした方法ではないのですが・・・



したがって三角形ABCは二等辺三角形となり、AB=ACが成立する。



NO.1418 2003.11.3.sakamotoバリエーションの数

私は某大阪の企業にて商品開発を担当しています。 今、商品のキャッチフレ−ズによく使用されている ”〇〇通りのバリエーション”の算出の仕方がわからなくて 困っています。

開発中のA商品には9個の穴があります、 11種類の高さの棒を色々な組合せで 入れた時に、Aは何パターン(バリエーション) 出来るのか?(同じ高さの棒を重複して使用してもいいです。)

というのが質問です。



NO.1419 2003.11.3.Junkoバリエーションの数(2)

9個の穴に棒をたてていく、重複OKということならば、 119=2,357,947,691 ということになりますでしょうか?
つまり、1番めの穴にどの棒を入れる? →11とおり。
2番めの穴にどの棒を入れる? →11とおり。
・・・以下9番まの穴まで続きます。(重複順列)




NO.1420 2003.11.3.yokodon折り曲げた板の回転体

〜模試シリーズ 17〜

AB=AC=√2 、∠BAC=π/2 の直角三角形ABCがある。2辺AB,AC (但し、端点を含む)の上に、それぞれ点P,Qを AP=AQ を満たすように取る。
この三角形ABCを、線分PQを折り目にして、三角形APQと四辺形BCQPと のなす角が π/2 になるように折り曲げた立体をTとする。
立体Tを辺BCのまわりに1回転させるとき、Tの周及び内部の点が通過する領域 の体積をVとする。P,Qが上記の条件で動くときのVの最小値を求めよ。

P.S. 興味のある方は、AP=AQ の条件を外して考えてみて下さい。



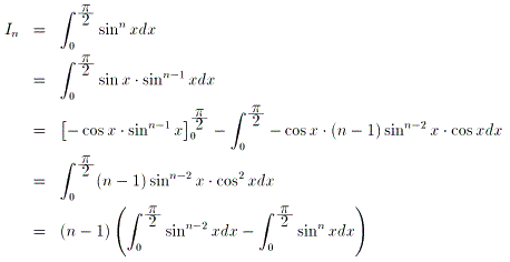
NO.1421 2003.11.4.Junkoゼータ関数の値ζ(2) (2)

途中までですが・・・。

(1)

  

(2) 部分積分を使います。

  

従って、In=(n-1)In-2-(n-1)Inより、

  

(3)nが偶数のとき

  

 nが奇数のとき

  

(4) 部分積分を使います。

  

従って、

  





NO.1422 2003.11.4.水の流れ無限降下法

美しい数学の話 第49話

ギリシャ時代から知られていた無限降下法は、広い範囲の問題を解く強力な方法といえる。 方程式が解を持たないとか作図が不可能だとかいった否定的な結論を導くのに特に有効である。 典型的な利用法を挙げてみます。
与えられた問題が解Sをもつとする。 あらかじめ問題の性質からどんな解の列も有限でストップすることをいっておいて、 Sから出発して無限に続く解の列を構成する。 こうして、もとの問題には解がないことを結論する。

では、問題です。

方程式 x―2y=0は自然数解をもたないことを示しなさい。

<解答>
自然数解(x、y)=(a,b)が存在したとする。
すなわち、a―2b=0 …@ とする。
このとき、aは偶数、すなわち、a=2a  となる自然数aが存在する。とすると、

    (2a―2b=0  なので、 2a―b=0 …A 

これから、bは偶数、すなわち、b=2b  となる自然数bが存在し、

    2a―(2b=0  なので、 a―2b=0 …B

これは、(a,b)がもとの方程式の自然数解であることを意味している。
ところが、@、A、Bから a>b、 b>a 、 a>b
つまり、a>b>a>b
さらに、B から、a=2a となる自然数aが存在して、・・・
このように、同様な理論を繰り返すと、減少し続ける自然数の無限列

    a>b>a>b >a>b>a>b>・・・

が得られる。ところが、自然数aよりも小さい自然数は有限個しかないので、これは矛盾している。
したがって、最初の方程式の自然数解はない。

<注意>
この解答は、√2が無理数であることの証明にもなっている。

 <参考文献>
「めざせ、数学オリンピック! 著者 J、コフマン、訳 山下純一」(現代数学社)





NO.1423 2003.11.5.本多欣亮Bezier曲線の問題(9)

Bezier曲線の問題(9) 【完結編】
与えられたBezier曲線のオフセット曲線を、精度良くかつ構成的に近似で求める 問題ですが、近似オフセット曲線自身をBezier型式で表現するアルゴリズムを解 説した論文が見つかりましたので、ご報告します。

 Computer Aided Geometric Design Vol.5, No.1, June 1988, pp.33-40
 "Spline Approximation of Offset Curves", J. Hoschek

コロキウム室NO.1200の記号を使ってアルゴリズムの粗筋を書いてみると:

【1】 P1、P4(端点もしくはアンカーポイントと呼ばれる)のオフセット点は その点での法線方向にLだけ移動した点であり自明。

【2】 P1、P4以外で曲線 C上のいくつか(個数は論文中で明示)の点を選び、 上と同様にオフセット点を求める(当然厳密に求まる)。

【3】 ベクトルP1→P2、ベクトルP3→P4 の2つのベクトルは、それぞれが並 行で長さの異なるベクトルに移される(ベジェ曲線の定義より明らか)。これら の2つのベクトルの比例定数をそれぞれλ1,λ2とする。

【4】 最小2乗法を使ってλ1,λ2の最適解を見つける(最適化する関数や制 約条件は論文に明記されている)。

【5】 最小2乗法では【2】の点を選んだときの tの組み合わせに依存するの で、これを選び直すかどうか考慮する(※1)。その後で残差(定義は論文中に 明示)を計算。

【6】 予め定めた誤差範囲に残差が入れば完了。予め定めた反復限度回数に達 していなければ【4】に戻る、そうでない(反復回数を超えている)場合は、与 えられたBezier曲線を二分割(※2)して、分割したそれぞれの曲線で【2】か らはじめる(つまり、再帰的に計算する)。

サブルーティンとして使われている※1は、J. Hoschek自身の他の論文で(上記 論文のpp.40 References に掲載)、※2は、書籍「CAGD のための曲線・曲面理 論」共立出版株式会社刊、もしくは、私の書いた サンプルコード(両者同内容) で見ることができます。また、非線形関数の最小2乗法についてはいろんな教科 書に載っていますね。

Adobe Illustrator がこの論文の方法でBezier曲線のオフセットを計算している かどうかはわかりませんが、オフセット後にアンカーポイントの個数がオリジナルの曲線に比べ 増加する現象があるあたり、いかにも上記【6】の再帰計算 でもしていそうな感じです。



NO.1424 2003.11.7.Junko折り曲げた板の回転体(2)

下の図のように、BCを回転軸(x)とし、BCの中点をOとします。
AP=AQ=t√2のところで折り曲げたとします。

立体TをBCを軸として回転させたときの体積をV(t)とおきます。
回転体の体積を求めるには、まずその断面(円)の半径l(x)を求める必要があります。

半径l(x)の求め方は、@0<x≦tの場合と、At≦x<1の場合で異なります。





従って、回転体の体積を求める際には、積分区間を分けて考える必要があります。



次に、求まったV(t)の最小値を求めます。





増減表により、最小値(10/27)π  (x=2/3のとき)







E-mail 戻る