Weekend Mathematics/コロキウム室/2000.4〜6/NO.92
| NO.789 | 2000.4.1. | 月の光 | 「三角の問題」の発展(6) |
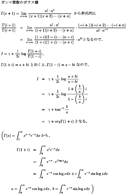
(一部訂正4/4 Junko)

その値を具体的に求めてみましょう。


実際、a=0.498060・・・,b=-0.154738・・・となるので


| NO.790 | 2000.4.2. | 水の流れ | どんな三角形?(1) |

太郎さんは、子供が中学時代のとき、
「正方形ABCDについて、∠ECD=∠EDC=15゜のとき、
図のような三角形AEDはどんな三角形であるか、調べて、それを証明しなさい。」
と、質問を受けました。随分、悩んだ思い出があります。皆さん!考えてください。
太郎さんは、早速、図のような点Eを描いて考えてみようと思っています。

| NO.791 | 2000.4.3. | WAHEI | ガロア理論の心(4) |
(群の準同型定理とガロアの基本定理の後半)
Artin先生にガロア理論を語ってもらう前に色々準備する事があります。
Aを集合としてRをその同値関係としましょう。
このとき商集合A/Rを作ることができました。
また写像f:A→A/Rをf(a)=C(a)で定めればこれは全射でした。
これを自然な写像といいます(natural map)。
一般に写像g:A→Bを用いて集合A上に同値関係を定める事ができます。
Rg:={(a、b)∈A×A|g(a)=g(b)}とすると、
これは明らかにA上の同値関係で、自然な写像f:A→A/Rについては〜=Rが成り立ちます。
(定理1)
Aを空でない集合、RをA上の同値関係とし、f:A→A/Rを自然な写像とする。
また写像g:A→B(B≠φ)は次の性質を満たすと仮定する。
a、b∈Aに対し、aRbならばg(a)=g(b)…(1)
このとき写像h:A/R→Bがg=hfを満たすように一意的に定まる。
(証明)
まずhがwell‐definedであることを示しましょう。
fが全射なのでA/Rの任意の元についてAの元が必ず対応しています。
ですからA/Rから元C(a)を取れて、C(a)=C(b)を仮定しましょう。
すると分割の補題からaRbですので、(1)の条件からg(a)=g(b)です。
ですからh(C(a))=h(C(b))であってhはwell-Definedであることがわかりました。
またこのhが一意的に決まることを示しましょう。
それにはhと同じ性質を満たすh´が存在したならh=h´である事を言えばいいですね。
∀C(a)∈A/Rに対しh(C(a))=h(f(a))=h´(C(a))。
よってh=h´です。従ってhはg=hfを満たすように一意的に取れました。 (証明終わり)
(補題1)
上のhに対しては次が正しい。すなわちhが単射⇔R=Rg
(証明)
まずhを単射と仮定してR=Rgを示しましょう。
RやRgは集合ですから例のごとく
「⊆」かつ「⊇」を示せば良い訳です。
上の定理の(1)はR⊆Rgを表しています。
またaRgbとしますと
g(a)=g(b)ですからh(C(a))=h(C(b))で、
仮定からhは単射ですからC(a)=C(b)。
よってaRbです。これでR=Rgがいえました。
次にR=Rgを仮定してhが単射であることを示しましょう。
h(C(a))=h(C(b))はg(a)=g(b)を示していますからaRgbです。
いまR=RgよりaRbですからC(a)=C(b)が正しく、
hが単射であることを示しています。 (証明終わり)
このことから次のコロラリーを得ます。
(コロラリー1)
やはり上の定理のhにおいて、もしgが全射で、R=Rgならば、hは全単射である。
ここでファクターグループについてやっておきましょう。
Gを群、Nをその正規部分群としたときNがG上に定める2つの同値関係
R1とR2は一致しました。
G/R1=G/R2ですが、
これをG/Nと書いてGのNによるファクターグループといいます。
すなわちG/N=G/R1=G/R2です。
ちなみにこのG/Nの演算は次でうまく定まります。
aN・bN=(ab)N
この演算がwell‐Definedであることと、
この演算によってG/Nが群になることは皆さんに任せたほうがいいでしょう
(これはぜひやってほしい。その際、単位元と逆元に特に注意してください)。
G/Nは群となりますから、写像f:G→G/Nはf(a)=aNで群の準同型写像になり、
全射です。これは本質的に自然な写像ですね。
このfについては環写像の時と同様、Ker(f)=Nが成り立ちます。
(定理2)
g:G→G´を群の準同型写像とし、NをGの正規部分群でKer(g)に含まれるものと仮定する。
このときh:G/N→G´なる準同型写像がh(aN)=g(a)となるように一意的に決まる。
(証明)
定理1をうまく使います。
今は同値関係としてR2を採用しましょう
(もちろんR1でも一向に差し支えありません)。
aR2bとしますと、
ab‐∈NですからN⊆Ker(g)に注意してg(ab‐)=e´
(ここでe´はG´の単位元)
であって、gは準同型写像よりg(a)=g(b)が正しい。
よって定理1の(1)の条件を満たしたので、
hがh(aN)=g(a)なるように一意的に決まる。
これが準同型写像であることは、
h(aN・bN)=h((ab)N)=g(ab)=g(a)g(b)=h(aN)h(bN)
であることに従います。もちろんaやbはGの任意の元です。
(証明終わり)
(コロラリー2)
g:G→G´を群の準同型写像とする。
このときh:G/Ker(g)→G´で、∀a∈Gに対しh(aKer(g))=g(a)
を満たす準同型写像が一意的に存在する。
特にG/Ker(g)〜Im(g)である。
「コロラリーって何ですか?」という質問を受けた事があります。
「コロラリー」とは「系」のことです。
つまりある結果(定理)が得られた際、そこからすぐに導かれる「副産物」といえます。
ですからコロラリーの証明は省かれるのが普通です。
僕もコロラリーの証明は暗黙のうちに皆さんに任せている事が多いです。
でも、上のコロラリー2の証明はなかなか得るところが多いのでやっておきましょう。
ところで、群の準同型写像f:G→G´において、
Ker(f):={a∈G|f(a)=e´}です。
(コロラリー2の証明)
まず、Ker(g)がGの正規部分群であることを示しましょう。
Ker(g)=Nとおきますと、∀a∈Gに対して、
aN=Naを示せばいいということですが、
一般にGを群としNをその正規部分群とすると次の補題が成り立ちます。
(補題2)
NがGの正規部分群⇔aNa‐⊆N(∀a∈G)
この補題をまず示しましょう。
NをGの正規部分群と仮定します。
∀α∈aNa‐を取ると、α=ana‐と書けます。
もちろんnはNの元です。
正規部分群の定義からNの元はGの全ての元と可換なので
α=ana‐=naa‐=ne=n∈N。
よってaNa‐⊆Nです。
逆にaNa‐⊆Nを仮定しましょう。
すると∀n∈Nに対して、ana‐=n1とNの元n1が取れます。
ですからan=n1aとなってaN⊆Na。
一方(a‐)‐=aに注意して(2度逆元を取ると元に戻る)、
Nの任意の元nに対して(a‐)‐n(a‐)=n2なる
Nの元n2も存在します。
このことから(a‐)n2=n(a‐)となって
aは任意だからa‐を改めてaと書く事ができてNa⊆aN。
よってaN=NaがGの任意の元aについて成り立ち、Nは正規部分群です。(補題の証明終わり)
さて、この補題を使うとKer(g)がGの正規部分群であることはすぐにわかります。
N=Ker(g)とおいていることに注意して、∀ana‐∈aNa‐を取ってgで移すと、
g(ana‐)=g(a)g(n)g(a‐)=g(a)eg(a)‐=g(a)g(a)‐=e。
よってana‐∈Nですから補題よりKer(g)=NはGの正規部分群です。
ですから定理2より準同型写像h:G/Ker(g)→G´がh(aKer(g))=g(a)
を満たすように一意的に決まります。
さらにg(a)=g(b)ならばab‐∈Ker(g)なので補題1によりこのhは単射です。
またμ:G/Ker(g)→Im(g)をμ(aKer(g))=g(a)で定めれば
これは明らかに全射ですから、μ=hに注意してhは全射です。
よってhは準同型写像で全単射ですから、G/Ker(g)〜Im(g)が成り立ちます。
(コロラリー2の証明終わり)
f:R→Sを環写像としますとR〜Sとはfが全単射になることでした。
群のレベルでも全く同じです。
すなわちf:G→G´を群の準同型写像とするとG〜G´とは
fが全単射になることなのです。
それから今示したコロラリー2の事を群の準同型定理といいます。
では、いよいよArtin先生のお出ましです。皆さん、お静かに。
(ガロアの基本定理の後半…fundamental Galois theorem stage2)
前半同様にK/Fを有限次のガロア拡大とする。
A∋E⇔H∈Bをガロアの基本定理の前半で対応させた中間体と部分群とする。
この時、次が正しい。
(証明)
Artin先生どうもありがとうございました(拍手)。
Artin先生にはまた後で登場していただきます。
やはり少し高度ですね。
本当は予定を変更してガロアの基本定理の後半はやらずに、
すぐに可解群の説明に入ってしまおうかと思ったんですが、
あえて取り上げて見ることにしました。
さて、前回証明をせずに使ってしまったベクトル空間の性質
(厳密には連立方程式の性質)を証明してしまいましょう。
これは現在出版されているあらゆる線形代数の本には必ず出ていますから、
そこからそのまま抜粋します。
(補題)
体Kの元を係数とし、x1、x2、…xnを
未知数とする連立方程式
| a11x1+a12x2+…a1nxn=0 |
| a21x1+a22x2+…a2nxn=0 |
| …… |
| am1x1+am2x2+…amnxn=0 |
(証明)
もしすべての係数が0ならば、
例えばx1=1と取れるので、非自明解を持つ事になる。
従って以後0でない係数があると仮定する。よってa11≠0としてよい。ここで、
Lk=ak1x1+ak2x2+…aknxn
とおく。
さらに最初の式、L1=0の両辺にa11の逆元、
a11-をかけることにより、
a11=1と仮定してよいことがわかる
(体だから、こういう事ができるわけです)。
そこで連立方程式(この連立方程式を(1)とおく)
| L1=0 |
| L2−a21L1=0 |
| … |
| Lm−am1L1=0 |
| L2−a21L1=0 |
| … |
| Lm−am1L1=0 |
(補題2)
M→(a)N→(b)Kを有限次の体の拡大列とすると(従ってaもbも有限)、
[K:M]=abが正しい。
これは体の拡大に関する基本的な結果なのでぜひとも証明しておく事柄です。
(補題2の証明)
Kの一組の基底、{α1、α2、…αb}を取ってきます。
いま[K:N]=bですから、このようにb個だけ取れるわけですね。
Kの全ての元はこのα1、…αbの一次結合として一意的に書けます。
すなわち、∀m∈Kは、m=狽sαs、(1≦s≦b)と一通りに書けます。
ここで、係数c1、…cbはNの元です。
[N:M]=aですから、やはりNの一組の基底、
{β1、β2、…βa}が取れて
Nの任意の元はこの基底の一次結合として一通りに書けます。
ですからc1、…cbはこのβ1、…βaの
一次結合で書けるわけです。
つまり、
cS=狽SWβW、(1≦W≦a)
と書けます。
ここでもちろんdSWはMの元です。
よってm∈Kはm=煤idSWβW)αS=
狽SWβWαSです。
したがってKの全ての元はab個の元の一次結合でかかれる事がわかりました。
次元の定義から、あと示すのはこのab個の元がM上一次独立になっていることです。
狽SWβWαS=0としますと、
cS=狽SWβWはNの元ですから
αSがN上で一次独立なので∀sについて
cS=0=狽SWβW。
βWはM上一次独立なので∀wに対して、
つまり∀s、wに対してdSW=0。
これで題意は満たされました。 (証明終わり)
この証明はそんなに複雑ではなく、一次独立や、基底の意味をしっかりと掴んでいれば、
定義に沿う証明です。
今回は内容がやや多くなったのでここまでにして、次回は可解群を定義します。
可解というのは「解く事ができる」という意味ですが、
解ける群とはいったいどんな群なのでしょうか?
またそれが方程式を代数的に「解く」という事とどのように関わってくるのでしょうか?
そこら辺の事情を理論化、精密化するのが次回の内容です。

| NO.792 | 2000.4.3. | ふじけん | どんな三角形?(2) |

まず、30°、60°、90°の直角三角形abcを考えます。
∠aの二等分線を引き辺bcとの交点をdとすると三角形adcは
15°、75°、90°の直角三角形になります。
ここで角の二等分線における定理よりbd:dc=ab:acとなるので
このことよりac:dc、つまり15°、75°、90°の直角三角形の
斜辺でない長辺と短辺の比が1:2-
となることがわかります。

(問題の正方形で、点Eを通るように辺BCの平行線を引き、
その平行線と辺ABとの交点をF、辺CDとの交点をGとして下さい。)
正方形の辺の長さを2とすると上のことよりEG=2-
となるので
FE=2-(2-
)=
となり、
BF=1より
三角形BFEは30°、60°、90°の直角三角形となります。
∴三角形AEBは正三角形
ちょっと力技のような気もしますが、太郎さんも中学時代と言っていたので
中学生っぽい解き方でいいんですよね。

| NO.793 | 2000.4.4. | 月の光 | 正六角形の問題・つづき |
先月の正六角形の問題の解答です。
求めかたは複素数を使って面積比を出すやりかたです。
この問題もいつも通り一般化してみました。
正n角形の辺をa:bに分けてその内分点を結んで出来る小n角形との比を求めました。
小n角形/大n角形=Rn(a:b)とおくと
Rn(a:b)=(a2+2abcos(2π/n)+b2)/(a+b)2
今回の問題ではn=6、a:b=1:3なのでR6(1:3)=13/16となり、
答は13:16です。

| NO.794 | 2000.4.4. | トシ | 双曲線関数 (1) |
x≧0のときのy=cosh xのの逆関数は

で,xが全実数のときのy=cosh xのの逆関数は

なんでしょうか?

| NO.795 | 2000.4.5. | トシ | 双曲線関数 (2) |
双曲線関数の定義って
双曲線の任意の点(x,y)と原点のなす角をθとしたとき
(x,y)=(cosh x,sinh x)と定義するってことなんですか?
それとも,

とするってことなんですか?

| NO.796 | 2000.4.5. | Junko | 双曲線関数 (3) |
双曲線関数(hyperbolic function)は、以下のように定義されます。

グラフは右のようになります。
この関数は、おもしろいことに三角関数に似た性質を持っています。
定義からすぐわかるように、y=cosh x は偶関数、y=sinh x ,y=tanh x は奇関数です。
[参考]偶関数:f(x)=f(−x) 奇関数::f(x)=−f(−x)

E-mail
戻る