Weekend Mathematics/問題/問題27
27.直角二等辺三角形の問題

上の図のように、直角二等辺三角形から順々に辺の長さが半分の大きさ
の直角二等辺三角形を取り除いていく操作を繰り返していくとき、
次の問いに答えなさい。
(1)2回目、3回目の操作の後の青い部分の面積を求めなさい。
(2)5回目の操作の後の、青い部分の面積を求めなさい。
(3)青い直角二等辺三角形が6561個できるのは、
何回目の操作ののちですか。
パズルより面白い中学入試の算数
ピ−タ−・フランクル
講談社
調布中学校'93
(ペンネ−ム:かに)
問題の操作を繰り返すとき、辺の長さと青い部分の直角二等辺三角形は それぞれ1/2倍、3倍ずつ増えるので
(ペンネ−ム:2丁目の山田)
一般にn回の操作後、
三辺の長さが64/2n,64/2n,
64/2n×√2の直角二等辺三角形が3n個できるから、
n回目の操作後の青い部分の面積
Sn=3n×(1/2)×(64/2n)2=2048×(3/4)n
とかけるので、
(ペンネ−ム:Ikawa Bird)
12.操作を一回するごとに、青い部分の面積は3/4倍される。
n回目の面積をAnとすると
A0=64×64/2=2048, An+1=An×(3/4)が成り立つ。
よってAn=2048×(3/4)nより
A2=1152, A3=864, A5=486となる。
(単位はすべてcm2)
ちなみに、27回繰り返せば面積は1を切ります。
3.一回操作するごとに三角形の個数は3倍される。
n回目での個数をBnとすると、Bn=3n。
n=logBnより、log6561=8。
よって8回目の操作の時。(底は3です)
(ペンネ−ム:ふー)

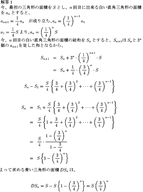
先ず(1)(2)の問題を解くために、青い部分の面積Sn
{n:操作回数}を求める一般式を立ててみる。
n=1の場合を考えてみると、
問題から、△ABCと△DEFの相似比=1:2 になるので、
△ABCと△DEFの面積比=12:22=1:4
従って、△DEFの面積=(△ABCの面積)×(1/4)であるから、
S1=(△ABCの面積)×(3/4)
同様にn=2の場合は、
S2=△ADE×(3/4)+△DBF×(3/4)+△EFC×(3/4) =S1×(3/4) =△ABC×(3/4)2
n=3以降も同様に考えられることから、
青い部分から直角二等辺三角形を取り除く操作は青い部分の面積を3/4にすることと同意である。
よって、最初の図形の面積が2048cm2であるから青い部分の面積Snは、
次の一般式で表せる。
Sn=2048×(3/4)n
つまり、
(1)の答え 2回目の操作の後の面積は 1152 cm2
3回目の操作の後の面積は 864 cm2
(2)の答え 5回目の操作の後の面積は 486 cm2
(3)は、1回の操作で直角二等辺三角形がそれぞれ3つに分割されるので、
直角二等辺三角形の個数=3n{n:操作回数}になる。
よって、6561を素因数分解すると 6561=38 であるから、
答は 8回の操作の後
(ペンネ−ム:マサボー)



(浜田 明巳 )
次のUBASICのプログラムによって求めました.
1回の操作で辺の長さが半分になり,
青い直角二等辺三角形の個数が3倍になることが分かります.
三角形の個数が6561個になるまで計算を続け,
最後に答を表示するようにします.
10 'asave "MONDAI27.UB"
20 dim 答(4):回数=0:個数=1:辺=64
30 while 個数<>6561:回数+=1:辺*=0.5:個数*=3
40 if or{回数=2,回数=3,回数=5} then 答((回数<4)*(回数-1)+(回数=5)*3)=fn面積(個数,辺)
50 wend:答(4)=回数
60 for J=1 to 4:print "答(";right(str(J),1);")=";答(J):next:end
70 fn面積(個数,辺):面積=個数*0.5*辺*辺
80 if int(面積)=面積 then 面積=int(面積)
90 return(面積)
ちなみにUBASICのソフトは現在インターネットから
ダウンロードできます.
このUBASICの特徴は計算のスピードが速く,
桁数も多く扱えることができ,また漢字を名前に使えることです
かに
浜田 明巳
2丁目の山田
Ikawa Bird
マサボー
ふー
燃えるサラリーマン
今回の問題はフラクタル図形の例として有名な
「シェルピンスキ−のガスケット」です。
これは問題(は直角二等辺三角形でしたが)にあるように、
正三角形をさらに4つの合同な正三角形に分け、
中央を取り除いていくという操作を無限に繰り返すことで得られる図形です。
フラクタル(Fractal)図形というのは、
一言で言えば、「自己相似」
どのような小さな部分を見ても、全体と相似という性質をもっているのです。
さて問題を再確認してみます。


これらの極限を(つまり無限回の操作をしたと)考えてみると、
面積0の三角形が(無限大)個あり、全体としての面積は0、
辺の長さは(無限大)ということになります。
この図形は、面積0ですから2次元の図形とは言えません。
しかしながら辺の長さは無限大ですから、1次元というのも無理があるように思います。
そこで、1次元と2次元の間にある非整数の次元という概念を考えた人がいるのです。
マンデンブロ(1924〜)という人がフラクタル次元というものを定義しました。
精度をr倍したときに、長さがN/r倍になったとすると、
フラクタル次元=(logN/logr)とします。
(全体を(1/r)に縮小した相似形N個から成り立つと考えてもいい。)
この定義に従えば、精度を2倍にしたときに長さが(3/2)となっています
(1/2に縮小した相似形3個から成り立っています)から、
「シェルピンスキ−のガスケット」のフラクタル次元は、
log3/log2=1.584962501・・・ となります。
これはフラクタル図形の複雑さの度合いと解釈することもできます。
さて、「Mathematicaで絵を描こう」(中村健蔵著、東京電機大学出版局、\3500)という本の中に シェルピンスキ−のガスケットの綺麗なグラフィックスがありましたので、 著者ご本人の承諾を得てプログレットと共にここに紹介します。
プログレット(左上の図)
a = N[Sqrt[3]/2];
b=Polygon[{{0,0},{1,0},{.5,a}}];
SetAttributes[fen,Listable]
fen[Polygon[{a_, b_, c_}]] := {Polygon[{a, (a + b)/2, (a + c)/2}],
Polygon[{b, (a + b)/2, (b + c)/2}],
Polygon[{c, (c + b)/2, (a + c)/2}]}
p = Table[{Hue[i/6. ], Nest[fen, b, i]}, {i, 0, 5}];
Show[Graphics[p], AspectRatio -> Automatic]
プログレット(右上の図、下2行を差し替え)
p=Nest[fen,b,7]; Show[Graphics[p],AspectRatio -> Automatic]
四角形のギャスケット
正方形から、正方形を取り除いていくことで作られています。
フラクタル次元は、
log8/log3=1.892789261・・・
三角形のガスケットの真似をして、色をつけずに表示してみました。
繰り返しを5回にしています。
先程の三角形のガスケットよりも若干次元があがっているのが、
図から感じとれますか?

シェルピンスキ−のスポンジ(n=3)
立方体から立方体を取り除いていきます。
フラクタル次元は、
log20/log3=2.726833028・・・
著者、中村健蔵さんのWebページでは、
フラクタル図形はもちろん、「mathematica」でかかれた素晴らしい画像をたくさんみることができます。
コロキウム室のNO.224で扱った
パスカルの三角形です。
偶数の所だけ色がつけてあります。
Sierpinskiのガスケットは、だんだんと細かくしていきますが、
こちらはだんだん大きくなっていくところがおもしろいですね。
さて、もう1つフラクタル図形を紹介しましょう。 「コッホ曲線」と呼ばれるものです。
スウェ−デンの数学者、ヘルジ・フォン・コッホ(1870〜1924)に発見されたことからこの名で呼ばれます。
長さ1の線分からスタ−トします。
まずこれを3等分します。
真ん中の1/3の部分を、それを1辺とする正三角形の他の2辺で置き換える。
以下、この操作を直線部分に対して無限に繰り返します。
ただし置き換えをする時には、どちら側に置き換えるかを一定にしておきます。
左図は、前述「Mathematicaで絵を描こう」の中にある図をお借りしています。
コッホ曲線はもちろん連続ですが、極限状態では直線部分が存在せず、
いたるところ折れ線だらけ、つまりいたるところ微分不可能ということになります。
精度を3倍にすると、測定値は4/3になるので、
フラクタル次元は、log4/log3=1.261859507・・・ となります。
さて最後に「Encyclopedia」からの引用です。
フラクタル幾何学は、たんなる数学的な抽象ではない。
海岸線は、雪片と同じように、細かくはかるにつれてかぎりなくその長さが長くなる。
マンデルブロによれば、山や雲や銀河や星団、
その他さまざまの自然の形や現象がよく似た性質をもっており、
フラクタル幾何学の自然科学における応用は急速にひろがっている。
さらにフラクタルがうつくしい図形としてしめされることから、
コンピューター・グラフィックスでも重要なものとされている。
フラクタルはまた、コンピューターで静止画や動画の情報を圧縮するのにもちいられる。
1987年、イギリスの数学者マイケル・バーンスリーは、
フラクタル変換という方法をみいだした。
この発見によって、自然をうつしとった画像(デジタル化された写真)の中で
フラクタルになった部分をみつけて、その画像を生みだす情報、
つまりフラクタル・コードを自動的に検出し、
画像情報を圧縮する方法が可能になった。
このフラクタル画像圧縮方式は、マルチメディアをはじめ、
画像を基本としたコンピューターのさまざまな情報処理ソフトに活用されている。
Microsoft(R) Encarta(R) 97 Encyclopedia. (C) 1993-1997 Microsoft Corporation. All rights reserved.
戻る