Weekend Mathematics/コロキウム室/2000.4〜6/NO.93
| NO.797 | 2000.4.6. | Junko | 双曲線関数 (4) |
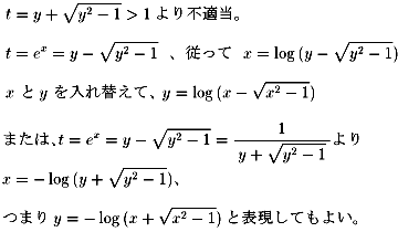
さて、y=cosh x の逆関数を考えます。
NO.796 双曲線関数(3)のグラフからわかるように、
定義域をX<0とx≧0に分けて考えなければなりません。
を変形することにより、
(ex)2−2exy+1=0
ex=tとすることにより、t2−2yt+1=0

解の公式より、



| NO.798 | 2000.4.8. | WAHEI | ガロア理論の心(5) |
(可解群とS(n)の不可解性)
まずは次の補題からいきます。
(補題1)
H、Kを群Gに部分群とし、HK={hk|h∈H、k∈K}とおく。
このときこのHKがGに部分群であるための必要かつ十分条件はHK=KHとなることである。
(証明)
HKがGの部分群であると仮定する。
このときhk∈HKにたいして(hk)‐=k‐h‐∈HKであるから、
あるh1∈H、k1∈Kが存在して、
k‐h‐=h1k1=(hk)‐とかける。
従ってhk=k1‐h1‐∈KHである。
つまりHK⊆KHがいえた。
また(kh)‐=h‐k‐なので(kh)‐∈HK、
よってkh∈HKとなり、KH⊆HKとなって、KH=KH。
一方HK=KHを仮定する。
すると(hk)(h1k1)‐=hkk1‐h1‐
=h(kk1‐h1‐)で、
kk1‐h1‐∈KH=HKなので、
kk1‐h1‐=h2k2とかける
(h2∈H、k2∈K)。
だからh(kk1‐h1‐)=h(h2k2)∈HKとなって
HKは確かにGの部分群。
(証明終わり)
(コロラリー1)
N、HはGの部分群とする。
もしNがGの正規部分群ならば、集合NHは必ずGの部分群。
(証明)
上の補題と正規部分群の定義に従う。 (証明終わり)
さて、次の定理は群の第二同型定理と呼ばれるものです。
(定理1)
N、HはGの部分群でNはGの正規部分群であると仮定する。
N∩HはHの正規部分群でNはNHの正規部分群であって、しかもH/N∩H〜NH/Nである。
(証明)
NがNHの正規部分群であることは全く自明。
群の準同型写像f:H→NH/Nをf(h)=hNで定めるとすぐわかるように
Ker(f)=N∩Nなので前回示したようにこれはHの正規部分群である。
一方n∈N、h∈Hとすると、(nh)N=(hn)N=hNよりfは全射である。
よってNO.791 ガロア理論の心(4)
のコロラリー2から、H/N∩H〜NH/Nがいえる。
(証明終わり)
さて、ここからが今回の本題です。可解群を定義しましょう。
(定義1)
Gを群とする。
このGが可解であるとはG内の部分群の列、G=G1⊃G2⊃…⊃Gn={e}において、
GL+1はGLの正規部分群でかつ、
GL+1/GLがアーベル群となることを言う。
この定義からすべてのアーベル群は可解であることがわかります。次の補題2が基本的です。
(補題2)
(証明)
Gを可解とするとGの部分群の列G=G1⊃G2⊃…⊃Gn={e}で
上の定義を満たすものが取れる。
ここでHをGの部分群とし、H∩Gd=Hd(1≦d≦n)とすると
H=H1⊃H2⊃…⊃Hn={e}となって可解の定義をみたす。
従ってGの部分群HはGが可解ならば可解である。
またG´d=f(Gd)とおくとG´内に部分群の列が取れて可解の定義を満たすことは
第二同型定理からわかる。
これで(1)がいえた。
次に(2)を示す。
G´=G/Nとおき、f:G→G´を自然な写像とする。
まずG´内で可解の定義を満たすように部分群の列G´d(1≦d≦n)が取れるが、
Gd=f‐(G´d)とおくと
Gの部分群の列Gdは可解の定義を満たし、さらにGn=Nである。
Nも可解なのでNの部分群の列Nm(1≦m≦р)で定義を満たすように取れる
従ってG自身可解である。 (証明おわり)
ここでファクターグループがアーベル群になる条件を考えましょう。
a、bをGの元として
[a、b]:=aba‐b‐とし、これをaとbの交換子といいます。
Gの有限個の交換子の積の全体を[G、G]と書きますとこれはGの部分群となり
(証明は簡単なので皆さんに任せたほうがいいでしょう)Gの交換子群といいます。
(定理2)
HをGの部分群とする。
HがGの正規部分群でかつG/Hがアーベル群であるための必要かつ十分条件はHがGの交換子群、
[G、G]を含むことである。
特に交換子群[G,G]は正規部分群である。
(証明)
HがGの正規部分群で、G/Hがアーベル群であると仮定する。
今G/Hの任意の2元A=aH、B=bHを取る。
G/Hがアーベル群である事からABA‐B‐=Hである。
従ってaba‐b‐H=Hなのでこれはaba‐b‐∈Hを示す。
よって[G、G]⊆Hである。
逆にHをGの部分群として、H⊇[G、G]を仮定する。
a∈H、t∈Gに対してtat‐=tat‐a‐a=[t、a]a∈
[G、G]a⊆Ha=Hで
あるからHは正規部分群である。
ab=ba(a‐b‐ab)=ba[a‐、b‐]で、
[a‐、b‐]∈[G、G]⊆Hであるから
abH=ba[a‐、b‐]H=baH。
従ってA=aH、B=bHとおくとAB=aHbH=abH=baH=bHaH=BAとなって
G/Hはアーベル群である。 (証明終わり)
一般にいくつかの物を並べ替えるのは2個ずつの並び替えを何回か繰り返して行えばいいわけです。
このあたりまえの事実を数学的に考察しましょう。
3次対称群S(3)の中には次のような、やや特別な元があります。
それは(1→2、2→3、3→1)です。これを長さ3の巡回置換といいます
よって長さnの巡回置換というのは1を2に2を3に…n−1をnにnを1に置換するもので
n対称群には必ず含まれている事がわかるでしょう。
また長さ2の巡回置換を互換といいます。よって全ての置換は互換の積として書ける訳です。
(補題3)
n≧5としGはS(n)の部分群とする。
NはGの正規部分群でG/Nはアーベル群であると仮定せよ。
このときGが長さ3の巡回置換を全て含むならNも長さ3の巡回置換を全て含む。
(証明)
f:G→G/Nを自然な写像とする。
文字1≦a<b<c≦nを任意に取り、さらにa、b、cとは異なる2文字d、g(但しd≠g)を
1からnの範囲で取って巡回置換s=(d→b、b→c、c→d)と
t=(a→c、c→g、g→a)とを考えよ。
G/Nはアーベル群なので定理2からf(t)‐f(s)‐f(t)f(s)=eである
(eはもちろん単位元)。
従って(a→b、b→c、c→a)=t‐s‐tsは
fのカーネルであるNに含まれる。
(証明終わり)
次の定理は5次以上の代数方程式には根の公式がないというアーベルの定理と極めて密接に関係しています。
(補題…アーベル)
n≧5ならばS(n)は可解でない。
(証明)
nが5以上でしかもS(n)は可解であると仮定せよ。
G=S(n)とおきGの部分群の列Gdを可解の定義を満たすように取る。
すると補題3を用いると順番にG=G1、G2…Gnは長さ3の巡回置換を全て含むことになるが
最後のGnは{e}であるからこれは不可能である。 (証明終わり)
(ガロア理論をやりたかった理由)
ようやくガロア理論の心をある程度示す事ができました。
「ガロア理論とは?」と聞くとごくまれに
「ああ、それなら5次以上の方程式が解けないって事でしょう」という返事を受けますが、
それは大変な誤解です。
ガロア理論の真髄は前にも書いた通りですから、
これを読んだ方はキチンと答える事ができるでしょう。
さて僕は専門が可換論(commutative algebra)なのでガロア理論との関係は
それほど強いとはいえませんが、
代数学を学んだと言えるためにはガロア理論を学んでいなければなりません。
従ってこのガロア理論というのは代数学の代名詞のようなものです。
ですから当然なまやさしい物ではありません。
僕がガロア理論をやりたかったのは、実はそのような事情があったのです。
(本の紹介)
ここで少し本を紹介します。
(代数構造に関する本)
M.F.Atiyah and I.G.Macdonald “Introduction to Commutative Algebra”
D.A.R.Wallace “Groups,Rings and Fields”
P.M.Cohn “An Introduction to Ring Theory”
以上に挙げた本はいずれも優れた本だと思います。
僕自身だいぶ多くを学びました。
リングセオリーシリーズは大体これらの本の内容と同じです。
”Introduction to Commutative Algebra”は今では入手は困難となっていますが、
大学の数学科の図書館に行けばあると思います。
また数学科はどこも事務の方が親切ですから、行けば何かしら対応してくれるはずです。
“Groups,Rings and Fiels“はSpringerから出版されていて、
比較的新しい本ですから容易に手に入れられると思います。
この本は代数構造といわれる群、環、体を懇切丁寧に展開する好著です。
僕が展開したものとはまた一味違った展開の仕方で読んでいて面白いです。
“An Introduction to Ring Theory“は文字どうり「リングセオリー」の入門書です。
高校生が読むのはきついと思いますが、大学の数学科の2年生程度の知識があれば読めると思います。
この本もSpringerが出しています。
(ガロア理論に関する本)
なんと言っても次の本が定番です。
Emile Artin “GALOISSE THEORIE”
実はこの本は日本語でも出版されています。その名も「ガロア理論入門」です。
出版しているのは東京図書です。
この本はArtin先生の書いた本で、
線形代数を用いて難解だったガロア理論をわかりやすく展開したすばらしい本だと思います。
さらにすごいのは高校生でも何とか読めるところでしょう。その他には
Joseph Rotman “Galois Theory”
がなかなかいい本だと思います。
現在はArtin先生のよりこちらの方がメジャーになりつつあるようです。
この本は問題を多く取り上げて、その問題のなかで定義やら命題を挙げています。
ですからこの本は読者が問題を考えなければ意味がないという事を主張しています。
その意味で極めて教育的な本といえるでしょう
(不親切と思うなかれ。自分でやった方が力は付くんです)。出版はやはりSpringerです。
(発展的な本)
David Eisenbud “Commutative Algebra with a view toward algebraic geometry”
この本は800ページに達する分厚い本ですが、
その理由は理論が保証している様々な事柄に対して、
その理論が実際に作用する数学的な対象物の解析が次々と行われているからです。
また面白いのは歴史的な背景もキチンとかかれていて、かつガロア理論にも少し触れられています。
Miles Reid “Undergraduate Commutative Algebra”
この本も幾何学とリングセオリーを組み合わせたいい本だと思います。
Undergraduateと称していますがレベルは大学院並です。
出版しているのはCAMBRIDGE UNIVERSITY PRESSというところです。
この本は最近日本語訳が出たらしいですが、僕はあまり日本語訳は勧めません。
(おわりに)
ずいぶんと色々な事を述べてきました。
今、我々は結構数学の中心地にいるのかもしれません。
これから先の事柄については僕が語るよりも、皆さんが進む方がいいでしょう。
代数方程式シリーズの終わりにも同じ事を言いましたね(笑)。
いかがでしたか?これを読んだ方は、
読む前とその後では大分世界が広がったのではないでしょうか?
リングセオリーシリーズの方も(20)をもって内容の方は終了とした方がいいでしょう。
実はUFDという整域があって、その話をやろうかと思ったんですが、
色々と迷った挙句、やめる事にしました。
現在はそれに関する本は多いですからね。
それからNoether環についても「少し難しいかな…」と思ってやはり他の本に譲ることにしました。

| NO.799 | 2000.4.8. | 水の流れ | 春の全国高校野球(2) |
NO.431 春の全国高校野球(1)の続きです。
同じようにして、夏の甲子園も調べました。
その結果、@は24試合、Aは13試合、Bは7試合、Cはなし、Dは4試合 でした。
そこで、丸数字の奇数は24+7+4=35
これを48で割ると35/48=0.73・・・ で高い確率で勝っています。
これで、夏もジンクスは確かだ言えます。
また、この丸数字の決まったイニングは1回から3回で20試合
このうち@のチームが16チームあります。
さて、こんなデータを発表しようと思っていたとき、
「誰かに解かせたくなる算数・数学の本:秋山仁(幻冬舎文庫)」の本を読んでいたら、
交通事故、天災など、まれにしか起こらない偶然の出来事は
「ポアソン分布」という特殊な確率分布の状態にしたがって起こるといわれている。
そして、例として、春のセンバツ野球を資料として挙げてありました。
本と同じ表現を引用します。
たとえば野球の試合を行ったとき
「9回裏までのあいだに逆転または勝ち越しが何回起こるか」と言う頻度が、
”まれにしか起こらないこと”の1例です。
先制点を挙げたチームがそのまま逃げ切ってしまえば、1回も逆転、
勝ち越しがなかったことになる。そこで、例として、春の横浜とPL得点経過でみます。
1回の表の1点は先制点だから、勝ち越しとは言わない。
1回の裏の2点は逆転だからカウントします。
3回の表の2点は勝ち越しではないので、カウントしないが、
3回の裏の1点は勝ち越しだからカウントします。
6回の表の2点は勝ち越しではないので、カウントしないが、
8回の裏の1点は勝ち越しだからカウントします。
以上、逆転または勝ち越しが回数として3回をカウントします。
この点<水の流れ>と回数の解釈が異なります。
この数え方でみると、本の中では、春のセンバツ
(良く読むと1994年のセンバツの資料のようです)の結果は
| 逆転・勝ち越しが起こる確率 | 理論値 | 実際の試合数 | |
|---|---|---|---|
| 0回 | 0.5483×31 | 17.0128 | 17 |
| 1回 | 0.3293×31 | 10.2083 | 10 |
| 2回 | 0.0988×31 | 3.0628 | 3 |
| 3回 | 0.0197×31 | 0.6107 | 1 |
です。
ここで、xは逆転または勝ち越しの回数を代入、mはデータの平均値で、この場合は
m=(1×10+2×3+3×1)/31=0.613…
これは、この年のセンバツでは、逆転または勝ち越しが1試合平均0.613回
起こったことを意味しています。
太郎さんの持っている99年度の春、夏の逆転または勝ち越し回数を言いますから、
| 逆転・勝ち越しが起った回数 | 1999年度春のセンバツ | 1999年度夏の大会 |
|---|---|---|
| 0 回 | 13試合 | 24試合 |
| 1 回 | 10試合 | 17試合 |
| 2 回 | 7試合 | 6試合 |
| 3 回 | 1試合 | 1試合 |

| NO.800 | 2000.4.8. | Junko | 春の全国高校野球(3) |
mathematicaで計算はしてみました。
(1)春のセンバツ
m=(1×10+2×7+3×1)/31=0.8710…
| 逆転・勝ち越しが起こる確率 | 理論値 | 実際の試合数 | |
|---|---|---|---|
| 0回 | 0.4185×31 | 12.9749 | 13 |
| 1回 | 0.3645×31 | 11.3008 | 10 |
| 2回 | 0.1588×31 | 4.9213 | 7 |
| 3回 | 0.0461×31 | 1.4288 | 1 |
(2)夏の大会
m=(1×17+2×6+3×1)/31=0.6667…
| 逆転・勝ち越しが起こる確率 | 理論値 | 実際の試合数 | |
|---|---|---|---|
| 0回 | 0.5134×48 | 24.6440 | 24 |
| 1回 | 0.3423×48 | 16.4293 | 17 |
| 2回 | 0.1141×48 | 5.4764 | 6 |
| 3回 | 0.0254×48 | 1.2170 | 1 |

| NO.801 | 2000.4.8. | 水の流れ | 春の全国高校野球(4) |
逆転または勝ち越しが1試合平均は春は0.8710回起こり、
夏は0.667回起こっています。
比較すると、夏は春より、逆転または勝ち越しが少なかったことを意味しています。
また、夏の方がよりポアソン分布していることが分かりました。
太郎さんは4月に、H12年春の全国高校野球の結果を次のように調べました。
(NO.431 春の全国高校野球(1))
平成12年の春の大会を同じく調べました。ご覧下さい。
春の全国高校野球は神奈川県の東海大学相模高校が、初優勝しました。 おめでとうございます。
さて、高校野球は先取点の入ったテームが勝つとよく言われます。
今回を例にして、分析しました。
また、ファンにとって、逆転につぐ逆転の試合は忘れられない感動を与えます。
(1)先取点が入って、同点にされてもそのまま終わった試合を@
(2)先取点が入って、逆転して(同点になっても)終わった試合をA
(3)先取点が入って、逆転されても再逆転して終わった試合をB
以下、この逆転の回数で、C、D、Eと分類していきます。
だから、丸数字が奇数の場合は先取点の入ったテームが勝ち。
丸数字が偶数の場合は先取点の入ったテームの負け。
となります。当然、丸数字の多い方が面白い試合で楽しむことができたことになります。
決勝戦までの31試合をこのように分析しました。その結果、
@は16試合
Aは4試合
Bは6試合
Cは2試合
Dは3試合 でした。
そこで、丸数字の奇数は16+6+3=25
これを31で割ると25/31=0.81・・・ で高い確率で勝っています。
これで、ジンクスは確かだ言えます。
また、この丸数字の決まったイニングは1回から3回で17試合 このうち@のチームが14チームあります。
4回から6回で5試合、7回から9回で8試合、延長戦の場合が1試合でした。
ここで、前回と同じく、野球の試合を行ったとき「9回裏までのあいだに逆転または勝ち越しが何回起こるか」と言う頻度が、
”まれにしか起こらないこと”の1例です。
先制点を挙げたチームがそのまま逃げ切ってしまえば、1回も逆転、勝ち越しがなかったことになる。
そこで、例として、平成12年春の鳥羽高校と長野商との得点経過でみます。
| 得点掲示 | 1 | 2 | 3 | 4 | 5 | 6 | 7 | 8 | 9 | 計 |
|---|---|---|---|---|---|---|---|---|---|---|
| 鳥 羽 | 1 | 0 | 3 | 0 | 1 | 2 | 0 | 1 | 0 | 8 |
| 長野商 | 2 | 0 | 0 | 3 | 0 | 0 | 0 | 1 | × | 6 |
| 逆転・勝ち越しが起った回数 | 2000年春のセンバツ | 2000年夏の大会 |
|---|---|---|
| 0 回 | 16試合 | 試合 |
| 1 回 | 7試合 | 試合 |
| 2 回 | 5試合 | 試合 |
| 3 回 | 2試合 | 試合 |
| 4 回 | 1試合 | 試合 |
です。
ここで、xは逆転または勝ち越しの回数を代入、mはデータの平均値で、この場合は
m=(1×7+2×5+3×2+4×1)/31=27/31=0.871…
これは、この年のセンバツでは、逆転または勝ち越しが1試合平均0.871回起こったことを意味しています。
| 逆転・勝ち越しが起こる確率 | 理論値 | 実際の試合数 | |
|---|---|---|---|
| 0回 | 0.4185×31 | 12.9749 | 16 |
| 1回 | 0.3645×31 | 11.3008 | 7 |
| 2回 | 0.1588×31 | 4.9213 | 5 |
| 3回 | 0.0461×31 | 1.4288 | 2 |
| 4回 | 0.0100×31 | 0.31102 | 1 |

| NO.802 | 2000.4.11. | Junko | どんな三角形?(3) |

ちょっと(かなり?)ずるいかもしれませんが、△ABEは正三角形だと予想してしまう?
左図のように、点Aと点Bを中心に半径がABに等しい1/4円をかきます。
2つの1/4円がぶつかった点をFとします。
△ABFは正三角形ですから、内角はすべて60゜です。
次に△BCFに注目すると、BC=BFより二等辺三角形であることがわかります。
∠CBF=30゜ですから、∠BCF=75゜となります。
従って∠FCD=15゜となり、実は点Fは問題にある点Eと一致することがわかります。
つまり△ABEは正三角形だというわけです。
ですから問題にある△ADEは二等辺三角形です。

| NO.803 | 2000.4.18. | 水の流れ | 積の期待値(1) |
太郎さんは、昔、生徒からこんな大学入試問題の質問を受けました。
1からnまでの数字を書いたカードが1枚ずつある。ただし、n≧3とする。
問題1:
このn枚のカードから無作為に同時に2枚のカードを取り出すとき、
書かれた数の積の期待値E2(n)をnで表せ。
また、n→∞ のときの、E2(n)/n2 → ? を求めよ。
問題2:
このn枚のカードから無作為に同時に3枚のカードを取り出すとき、
書かれた数の積の期待値E3(n)をnで表せ。
また、n→∞ のときの、E3(n)/n3 → ? を求めよ。
と、質問を受けました。随分、悩んだ思い出があります。皆さん!考えてください。

| NO.804 | 2000.4.21. | Junko | 積の期待値(2) |
(1+2+3+・・・+n)・(1+2+3+・・・+n)を展開すれば、
1からnの任意の2つの積がとりうるすべての場合を網羅していると思います。
ただし、同じ数を2枚ひくことはありえませんから、12+22+32+・・・+n2を引かねばなりません。
また、1×2と、2×1は同じことですから、2で割ります。
更に、それぞれの確率は皆同じで、1/nC2ですから、期待値E2(n)は

期待値E3(n)も同様です。


| NO.805 | 2000.4.26. | Junko | 積の期待値(3) |
kiyoさんのご指摘で、NO.804の計算を見直したところミスがありました。
改めて計算し直しててみます。
期待値E2(n)=(n+1)(3n2-n-2)/12(n-1)とありますが、
実は(n-1)で約分ができますね。
従って、E2(n)=(n+1)(3n+2)/12
極限の方は影響ありません。
期待値E3(n)については、一部係数をかけるのを忘れていました。


E-mail
戻る